
MTBF,即平均故障间隔时间,英文全称是“Mean Time Between Failure”。是衡量一个产品(尤其是电器产品)的可靠性指标。单位为“小时”。它反映了产品的时间质量,是体现产品在规定时间内保持功能的一种能力。具体来说,是指相邻两次故障之间的平均工作时间,也称为平均故障间隔。概括地说,产品故障少的就是可靠性高,产品的故障总数与寿命单位总数之比叫“故障率”(Failure rate)。它仅适用于可维修产品。同时也规定产品在总的使用阶段累计工作时间与故障次数的比值为MTBF。磁盘阵列产品一般MTBF不能低于五千小时。

MTBF计算方法:
MTBF是可修复产品可靠性的一种基本参数。度量方法为:在规定的条件下和规定的时间内,产品的寿命单位总数与故障总次数之比
MTBF值是产品设计时要考虑的重要参数,可靠度工程师或 设计师 经常使用各种不同的方法与标准来估计产品的MTBF值。相关标准包括MIL-HDBK-217F、Telcordia SR332、Siemens Norm、Fides或UTE C 80-810(RDF2000)等。不过这些方法估计到的值和实际的平均故障间隔仍有相当的差距。计算平均故障间隔的目的是为了找出设计中的薄弱环节。
MTBF的数学式表达:

另外,在工程学上,常用希腊字母θ来表示MTBF,既有:

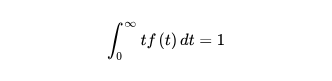
在概率论中,可用ƒ(t)形式的概率密度方程表示MTBF,既有:

此处ƒ指的是直到下次失效经过时长的概率密度方程——满足标准概率密度方程——

设有一个可修复的产品在使用过程中,共计发生过N0次故障,每次故障后经过修复又和新的一样继续投入使用,其工作时间分别为:T0,T1。那么产品的平均故障间隔时间,也就是平均寿命为Q为:(T0+T1)/N0。
关于 MTBF值的计算方法,最通用的权威性标准是MIL-HDBK-217、GJB/Z299B和Bellcore,分别用于军工产品和民用产品。其中,MIL-HDBK-217是由美国国防部 可靠性分析 中心及Rome实验室提出并成为 行业标准 ,专门用于军工产品MTBF值计算,GJB/Z299B是我国军用标准;而Bellcore是由AT&TBell实验室提出并成为商用电子产品MTBF值计算的行业标准。
MTBF计算中主要考虑的是产品中每个器件的失效率。但由于器件在不同的环境、不同的使用条件下其失效率会有很大的区别,例如,同一产品在不同的环境下,如在实验室和海洋平台上,其可靠性值肯定是不同的;又如一个额定电压为16V的电容在实际电压为25V和5V下的失效率肯定是不同的。所以,在计算可靠性指标时,必须考虑上述多种因素。所有上述这些因素,几乎无法通过人工进行计算,但借助于软件如MTBFcal软件和其庞大的参数库,我们就能够轻松得出MTBF值。
故障时间:
随着服务器的广泛应用,对服务器的可靠性提出了更高的要求。所谓“可靠性”,就是产品在规定条件下和规定时间内完成规定功能的能力;反之,产品或其一部分不能或将不能完成规定的功能是出故障。故障率常用λ表示,例如正在运行中的100只硬盘,一年之内出了2次故障,则每个硬盘的故障率为0.02次/年。当产品的寿命服从指数分布时,其故障率的倒数就叫做 平均故障间隔时间 (Mean Time Between Failures),简称MTBF。即:
MTBF=1/λ
假设一款可用于服务器的WD Caviar RE2 7200 RPM 硬盘,MTBF 高达 120万小时,保修 5年。120万小时约为137年,并不是说该种硬盘每只均能工作137年不出故障。由MTBF=1/λ可知λ=1/MTBF=1/137年,即该硬盘的平均年故障率约为0.7%,一年内,平均1000只硬盘有7只会出故障。
ETR专注中国检测认证领域九余年,拥有独立实验室,与多名国内认证权威专家,拥有专职产品整改,对策服务团队,快速跟进流程,把握各个环节,具备完善的检测设备及经验丰富的整改工程师,确保您的产品顺利通过检测获取认证,为您的产品进入市场保驾护航。相关MTBF认证问题,可咨询ETR检测认证技术交流:13528413123(黄工)。
详情:可靠性MTBF测试
关注公众号“亿通检测标准”了解更多精彩内容。